Виды CAN-шин
Обычно используют две шины – высокоскоростную и низкоскоростную (не желая использовать этот компрометирующий термин, некоторые производители говорят о среднескоростных устройствах).
Первая применена для связи наиболее важных устройств, агрегатов двигателя, трансмиссии, тормозов, подвесок, систем безопасности. Вторая обслуживает второстепенные функции комфорта и сервиса.
Это не значит, что системы автономны. Они связаны между собой через шлюз, обычно находящийся в приборной панели. Низкоскоростная линия также имеет свои контакты в диагностическом разъёме, записанные в стандарт.
Сделано так, чтобы системы низшего уровня важности не мешали максимально быстрому обмену приоритетных устройств. А большое быстродействие, например, регулировке сидений ни к чему
На низшем уровне могут работать ещё более простые шины, однопроводные и низкоскоростные. Они подключаются к общей CAN через свой контроллер.
Например, в двери могут стоять стеклоподъёмники, блок кнопок управления, различные датчики, всё это нет необходимости выводить на общую шину. Но и плодить множество проводов тоже. Используются простейшие контроллеры и однопроводная сеть.
Проверено временем
В 1969 г. началось производство этого двигателя. Показанный впервые на автосалоне IAA во Франкфурте, он стал сенсацией. Ведь мощность в 350 л.с. тогда считалась недосягаемой для промышленных двигателей такого объема.
Так, Scania-двигатель совершил революционный переворот, что обеспечило статус и престиж быстроразвивающемуся предприятию Scania. Новый двигатель V8 явился альтернативой рядному шестицилиндровому двигателю 265 л.с. Новинками для того времени были раздельные головки блока цилиндров и пятиточечные распылители форсунок. Максимальный крутящий момент составил 1245 Нм при 1500 об/мин. Для сравнения: крутящий момент V-образного двигателя «мерседес» примерно такого же объема был равен 1030 Нм.
Пробег в миллион километров без отказа двигателя уже не казался фантастическим. С данного момента этот двигатель названный DS14, установил новые критерии в Европе. Изюминка моторов Scania — оптимальный рабочий режим при более низких, чем у машин других производителей, оборотах двигателя. И это обеспечило ему долгую жизнь.
При первой модернизации мотора в 1977 г. шведы позаботились об улучшении эластичности: мощность двигателя увеличилась до 375 л.с. (при 2000 об/мин вместо 2300 об/мин), в то время как максимальный крутящий момент увеличился на 19 процентов с 1245 до 1480 Нм и уже достигался при 1300 об/мин, а не при 1500 об/мин, как ранее. Так возник зеленый диапазон на тахометре в том виде, в котором он существует сегодня.
Когда в 1980-е гг. Scania представила 2-ю серию тягачей, то вскоре последовала новая версия V8: в 1981 г. были достигнуты мощность 388 л.с. и максимальный крутящий момент 1580 Нм. Промежуточное охлаждение наддувного воздуха увеличило мощность до 420 л.с. и максимальный момент достиг 1725 Нм. Другой молниеносный удар последовал в 1987 г. с появлением машин 3-й серии. Модернизированная система подачи топлива обеспечивала мощность 470 л.с. и максимальный крутящий момент 1940 Нм. Из трех вариантов все были только V8: 450 л.с. и 470, 494 л.с. Ведущая позиция была уже занята.
В 1995 г. появляется 12-литровый двигатель с диаметром цилиндра 127 мл и увеличенным ходом поршня до 157 мл против 140 мл. Он и становится базовым для тяжелых грузовиков. Уровень выхлопных газов доведен до Евро-2.
Введение норм Евро-3 означало смертный приговор 14-литровому старичку. Доведение до новых норм этого двигателя экономически было не целесообразно, а механический топливный насос уже никак не соответствовал новым требованиям. Но тем не менее этот мотор достойно завершил свою карьеру: за 32 года рабочего пути он прибавил в мощности на 51 s процент и увеличил максимальный крутящий момент на 85 процентов. Поделиться

Принцип работы
Работа CAN-шины определяется физическим и логическим протоколами, которые достаточно чётко стандартизованы, хотя и имеют целый ряд исполнений.
Физически это витая пара, каждый из проводов которой является сигнальным. Работают они в противофазе, один поэтому называется CAN-High, второй – CAN-Low.
Сделано так с целью обеспечить максимальную помехоустойчивость при большой скорости передачи данных. Сигнал с пары снимается по дифференциальному принципу, то есть парой встречно включённых компараторов.
На концах витой пары имеется волновое согласование двумя терминальными резисторами по 120 Ом. Хотя встречаются и другие номиналы, но редко.
Активным уровнем считается низкий, он же логический ноль. Это общий принцип в работе устройств с открытым коллектором, разве что тут не применяется инвертирование уровней. Отсюда и логический принцип работы – инициируется линия любым устройством, открывшим свой выходной транзистор и сформировавшим первый нулевой бит.
Далее идёт идентификация приоритетного устройства, которое должно передать свою информацию первым в случае конфликта во времени. Протокол стандартный, каждый бит посылки расписан в даташитах ISO.
Все устройства одновременно передают и считывают информацию чётко соблюдая протокол, зашитый в памяти их контроллеров. Ненужные или ошибочные данные определяются и игнорируются.
Двигатели Scania четвёртой серии. Руководство — часть 96

Примечание: Изготовителям кузовного оборудования автомобилей и кузовов автобусов запрещается подключать к шине CAN собственные электронные системы без одобрения компании Scania. При подключении любого оборудования, кроме установленного на сборочном заводе, может отрицательно повлиять на безопасность и надежность автомобиля.
Примечание: С помощью мультиметра невозможно измерить или проверить сигнал, передаваемый по шине CAN. Для того чтобы установить причину неисправности, следует использовать коды неисправностей.
Обозначение СAN используется для краткого названия сети с периферийными контроллерами. Шина СAN обеспечивает сокращение количества проводов на автомобиле и одновременно с этим повышение надежности. Шина передачи данных состоит из двух проводов: CAN H и CAN L.
К этим проводам подключены несколько различных систем, которые образуют коммуникационную сеть. Данная сеть используется для соединения, например, блоков управления EDC, ABS/TC, EBS, блока управления гидравлическим замедлителем, Opticruise и блока-координатора.
Для упрощения можно считать, что сеть CAN похожа на радиосетью. Данные, передаваемые по проводам шины CAN, можно сравнить с радиоволнами, которые распространяются в эфире.
При прослушивании радиопередачи приемник настроен на определенную станцию. Можно единовременно прослушивать только одну радиостанцию, несмотря на то, что в то же самое время вещает множество других радиостанций.
Блок управления, подключенный к шине CAN, принимает предназначенные для него данные аналогично радиоприемнику, настроенному на определенную волну. Блок управления может принимать, например, данные, передаваемые по шине CAN блоком управления EDC и касающиеся температуры охлаждающей жидкости, и затем использовать эти данные для собственных расчетов.
Блок управления принимает все сообщения, передаваемые по шине CAN, и записывает их в специальную память. Эту память можно сравнить с несколькими радиоприемниками, которые работают одновременно, но настроены на различные радиостанции и одновременно принимают несколько радиопрограмм. Таким образом, блок управления может всегда контролировать функционирование системы.
Взаимодействие системы EDC с другими системами
Источник
Настоящая редкость
Спустя несколько лет после выпуска двигателя Scania DS 14 компания стала решать ещё одну техническую задачу: как вписаться в новую технологию впрыска, необходимую для того, чтобы двигатель соответствовал экологическим нормам Euro 3? Чтобы решить эту проблему, инженеры Scania начали разработку совершенно нового двигателя конфигурации: V8 с углом наклона 72º. Было построено около 12 прототипов.

На помощь снова пришёл старший инженер Бенгт Гадефельт. Он предупредил, что двигатель с 72º будет иметь очень сложную конструкцию, особенно коленчатый вал. Специалисты согласились с мнением старого конструктора, выбрав другое решение – разработать новый двигатель объёмом 16 литров и 90º.
На фото один из двигателей Scania V8, у которого поршневые группы находятся под углом не 90, а 72°. Он разрабатывался для замены оригинального 14-литрового V8, но остался в качестве прототипа и никогда не использовался.
Автобусы [ править | править код ]
Серия Century 3000
Давняя кооперация с испанской кузовной фирмой Irizar привела к созданию комплектного автобуса Scania Century 3000, смонтированного на шасси К124 (4х2 или 6х2) и соответствующего всем нормам Западной Европы и США. Его дизайн сочетает аэродинамичную форму, свойственную стилем «улыбка», созданном на Scania. Автобус с числом посадочным мест до 57 предлагается в нескольких вариантах длины — от 10,7 до 15 м, с габаритной шириной 2550 мм и высотой 3700-3900 мм. Внутренняя высота салона — 2050 мм. Кузов оснащен периферийным поясом безопасности, а его наиболее уязвимые нижние элементы выполнены из нержавеющей стали. В задней части шасси продольно размещаются вертикальные двигатели рабочим объёмом 9, 11 и 12 л мощностью от 300 до 420 л.с. в блоке с механической 8-ступенчатой коробкой передач ZF. Шасси оборудовано всеми дисковыми тормозами, индивидуальной пневматической подвеской каждого переднего колеса, гидроприводом для управления не ведущими колёсами третьей оси.
Серия Omni
В конце 90-х годов фирма выпустила серию комплектных 12-метровых многофункциональных автобусов Omni с кузовами модульной конструкции, получивших переднюю облицовку, названную «улыбающейся». От неё вскоре пошла мода на такой оригинальный стиль оформления. Городской низкорамный 3-дверный автобус OmniCity CN94 оснащён полностью алюминиевым кузовом: его основание в виде продольной силовой балки, поперечины и каркас собраны на болтах из алюминиевых П-образных профилей, крыша и боковая облицовка тоже алюминиевые, но передняя и задняя панели стеклопластиковые. В задней части кузова поперечно с наклоном 60° назад расположены двигатели объёмом 9 или 11 л мощностью 220—260 л.с. и автоматическая 4-ступенчатая коробка передач. Один из двигателей в 230 л.с. рассчитан на работу на этаноле.
Автобус укомплектован всеми дисковыми тормозами, 3-контурной тормозной системой с АБС и индикатором износа накладок, гидравлическим тормозом-замедлителем, установкой микроклимата в кабине водителя. Пригородный автобус OmniLink отличается от городского только двигателем, установленным сзади продольно с углом наклона 60°.
Близкий к ним по конструкции пригородный 2-дверный вариант OmniLine IL94, впервые показанный на салоне во Франкфурте-на-Майне осенью 2000 года, смонтирован на шасси L94IB и снабжён алюминиевым каркасным кузовом с высотой расположения пола салона 860—960 мм над поверхностью дороги. В задней части продольно с наклоном 60° установлены 9-литровые двигатели мощностью 230—300 л.с., работающие с автоматической 5-ступенчатой коробкой передач.
На основе городского одиночного автобуса выпускается сочленённый вариант OmniCity CN94UA (6х2) длиной 18 м, укомплектованный моторами в 230—260 л.с. и автоматической 4- или 5-ступенчатой трансмиссией. Его максимальная скорость достигает 102 км/ч.
Scania (Скания) PGR серии Предохранители в блоке с количеством 62шт.
| Плавкий предохранитель (№) | Номинал (А) | Система | Функция | Защищаемая цепь |
| 1 | 5 | COO, BMS | ECU, ABS/EBS прицепа | 15AA |
| 2 | 30 | COO | Клапаны прицепа | 15AB |
| 3 | 5 | COO | PT01, PT02 | 15AC |
| 4 | 2 | MIA, VIS | Регулировка зеркал, сигнализация при движении задним ходом | 15AD |
| 5 | 5 | TCO | Тахограф | 15AE |
| 6 | 20 | WIW | Левый стеклоподъемник | 15AF |
| 7 | 10 | VIS | Очистители фар | 15AG |
| 8 | 10 | POW | Прикуриватель | 15AH |
| 9 | 5 | FAS, COO | Interactor 200 (FAS)/Communicator 100, круиз-контроль | 15AJ |
| 10 | 5 | CCS, INL | ACC/MCC, внутреннее освещение Exclusive | 15BA |
| 11 | 10 | RDL, AWD/ABS | Блокировка дифференциала, ABS 6-канальная | 15BB |
| 12 | 5 | FHS | Расход топлива, подогреватель для топливного фильтра | 15BC |
| 13 | 10 | TAL | Подъемник дополнительного моста | 15BD |
| 14 | 5 | CSS | Подушка безопасности | 15BE |
| 15 | 20 | WIW | Правый стеклоподъемник | 15BF |
| 16 | 10 | CAT | Электрический подъемник кабины | 15BG |
| 17 | 20 | BWS | Кузов | 15BH |
| 18 | 5 | SCS, POW | Замок ремня безопасности, предохранительный переключатель ADR | 15BJ |
| 19 | 20 | COO | Координатор | 30A |
| 20 | 20 | EMS | EDC | 30B |
| 21 | 10 | COO | Замок зажигания | 30C |
| 22 | 20 | EMS | EDC | 30D |
| 23 | 10 | VIS | Стоп-сигналы | 30E |
| 24 | 20 | BMS | ABS/EBS | 30F |
| 25 | 10 | SMS | ELC | 30G |
| 26 | 20 | CCS | Вентилятор кабины | 30H |
| 27 | 5 | CCS, AHS | CT/CTR | 30J |
| 28 | 20 | ROH | Люк крыши | 30K |
| 29 | 10 | ICL, TCO | Панель приборов, тахограф | 30L |
| 30 | 30 | BWS | Кузов | 30M |
| 31 | 10 | AWD, INL | ECU AWD, внутреннее освещение | 30N |
| 32 | 10 | COO | SDP3 | 30R |
| 33 | 10 | HVF, VIS | Комплект подготовки для регистрации дорожных сборов (для Швейцарии), проблесковый маячок | 30S |
| 34 | 20 | POW | Преобразователь напряжения 24В/12В, розетка 12 В | 30T |
| 35 | 10 | TGS, BWS | Прицеп | 30U |
| 36 | 20 | GMS | OPC/GA-Allisson | 30V |
| 37 | 10 | LAS | Центральный замок | 30X |
| 38 | 20 | AHS | Дополнительный отопитель (ATA, WTA) | 30Y |
| 39 | 10 | VIS | Фонари заднего хода | 30Z |
| 40 | 20 | POW | Электрический разъем 24 В (розетка) | 30AA |
| 41 | 10 | APS, FMS | APS ECU, подготовка FMS | 30AB |
| 42 | 30 | CAT | Электрический подъемник кабины | 30AC |
| 43 | 10 | REF, FAS | Рефрижератор, Interactor 200/Communicator 100 (FAS/RTI) | 30AD |
| 44 | 10 | AUS | Усилитель | 30AE |
| 45 | 10 | MIH, ACL | Обогрев зеркала заднего вида, ACL | 61A |
| 46 | 10 | SCS, ALT | Обогрев сиденья, предупреждение | 61B |
| 47 | 10 | APS, FHS | Осушитель воздуха, подогреватель топливного фильтра | 61C |
| 48 | 10 | BWS | Кузов | 61D |
| 49 | — | — | — | — |
| 50 | 5 | COO | Желтая и зеленая шина, предупреждения | X15 |
| 51 | — | — | — | — |
| 52 | 2 | LAS | Сигнализация | B |
| 53 | 2 | INL, ROH | INL Exclusive, предупреждение об открытом люке крыши | B |
| 54 | 10 | VIS | Левый стояночный фонарь | 58A |
| 55 | 10 | VIS | Правый стояночный фонарь | 58B |
| 56 | 5 | INL, VIS | Подсветка, регулировка световых пучков фар по высоте | 58C |
| 57 | 20 | BWS | Кузов | 58D |
| 58 | 10 | VIS | Прицеп, левая сторона | 58E |
| 59 | 10 | VIS | Прицеп, правая сторона | 58F |
| 60 | — | — | — | — |
| 61 | 2 | BWS | Кузов | RA |
| 62 | 2 | POW | Преобразователь напряжения 24 В/ 12 В | RA |
Предохранители для специальных функций:
| Плавкий предохранитель (№) | Номинал (А) | Система | Функция | Питание |
| F5 | 30 | KIT | Кухонное оборудование | 30 |
| F5 | 10 | KIT | Кухонное оборудование | 30 |
| F9 | 20 | FHS | Подогреваемый топливный фильтр | 30 |
| F14 | 20 | WIW | Стеклоподъемник, левая задняя дверь, двойная кабина (Crew Cab) | 30 |
| F14 | 20 | WIW | Стеклоподъемник, правая задняя дверь, двойная кабина (Crew Cab) | 30 |
| F14 | 10 | FST | Подножка (Crew Cab) | 30 |
| F14 | 10 | FST, POW | Подножка (Crew Cab) | 30 |
Наклейка с перечнем предохранителей находится на обратной стороне крышки блока предохранителей Scania (Скания) PGR-серии расположеного с пасажирской стороны.

Генератор на Scania серии P,G,R
Блок управления двигателем определяет, когда активизируется генератор. Чтобы гарантировать активизацию, частота вращения коленчатого вала двигателя должна быть достаточной для этого, то есть приблизительно 400 об/мин. Если генератор активен и происходит зарядка, блок управления двигателем получает сигналы от него.
Если блок управления двигателем обнаруживает сбой генератора при выполнении зарядки, генерируется код неисправности и на панели приборов загорается контрольная лампа зарядки. После проверки электропроводки и электрических разъемов рекомендуется выполнить проверку генератора.
Генератор приводится в действие поликлиновым ремнем двигателя. Когда частота вращения коленчатого вала двигателя увеличивается, частота вращения генератора также увеличивается, приводя к более высокому напряжению генератора.
Регулятор зарядки, расположенный на генераторе, используется для того, чтобы ограничить напряжение генератора (чтобы оно не стало слишком высоким), когда увеличивается частота вращения коленчатого вала двигателя. Это регулятор транзисторного типа, и регулировка происходит благодаря заземлению на массу штыря № 2 (L) регулятора
- Не используется
- L
- 15
- Не используется
- Не используется
На генераторе Bosch регулятор зарядки представляет собой единый блок с угольными щетками. А генератор Melco имеет отдельные угольные щетки, которые не объединены с регулятором зарядки.
Угольные щетки опираются на контактные кольца генератора. Чтобы генератор работал, угольные щетки должны иметь определенную длину.
Если при неподвижном автомобиле требуется более значительная подача питания, частоту вращения коленчатого вала двигателя можно увеличить путем регулировки частоты вращения коленчатого вала в режиме холостого хода.
Таблица соответствия терминов — перевод
Английские термины из левого столбца используются в электрических схемах.
Английские термины — Русские термины
- 2-circuit steering — Двухконтурное рулевое управление
- AСL, Air dryer — Централизованная система смазки AСL, воздухоосушитель
- Air horn — Пневматический звуковой сигнал
- Air susp — Пневматическая подвеска
- Airbag — Надувная подушка безопасности
- Applied park brake — Стояночный тормоз включен
- Aux tag axle — Дополнительный мост
- Auxiliary electric central — Дополнительный главный электрический блок
- Auxiliary equipment — Дополнительное оборудование
- Auxiliary heater — Автономный отопитель
- Batt master switch — Выключатель «массы»
- Battery heater — Обогреватель батареи
- Bed lamp upper — Верхний плафон местного освещения
- Boarding step light — Плафон освещения подножки
- BP/P2 — Давление торможения/P2
- Brake pressure — Давление торможения
- Bumper — Бампер
- Cab roof — Крыша кабины
- Cab tilt — Опрокидывание кабины
- Central el unit — Центральный электрический блок (P2)
- Central lock — Центральная блокировка
- Cigarette lighter — Прикуриватель
- Clutch pedal — Педаль сцепления
- Comb instrument — Комбинация приборов
- Connection box in frame — Соединительная коробка на раме
- Coolant level — Уровень охлаждающей жидкости
- Diff lock — Блокировка дифференциала
- Direction ind. light — Указатели поворота
- Distance light — Фара-прожектор
- Door — Дверь
- Door mounted — Установленная дверь
- Door operated general lighting — Плафон, включаемый при открывании двери
- EBS — Электроннопневматическая тормозная система
- EDC — Электронная система управления топливоподачей
- EEB — Моторный замедлитель с электронным управлением
- El heated mirror — Зеркало заднего вида с электроподогревателем
- El roof hatch — Электрический люк в крыше
- ELC — Пневматическая подвеска с электронным управлением
- End out marker light — Габаритный фонарь
- Eng hour count — Счетчик моточасов двигателя
- ETC — Система отопления с электронным управлением
- EXB — Моторный замедлитель
- Exhaust brake — Моторный замедлитель
- External sunvisor — солнцезащитный щиток
- Fan — Вентилятор
- Fifth wheel light — Освещение опорно-сцепного устройства
- Flame start — Электрофакельный предпусковой подогреватель воздуха
- Front fog light — Передние противотуманные фары
- Fuel heater — Подогреватель топлива
- General lighting — Плафон освещения кабины
- Hand lamp socket — Розетка лампы-переноски
- Hazard warning light — Аварийная световая сигнализация
- Head lamp — Фара
- Head lamp washer — Омыватель фар
- Idle — Частота холостого хода
- Interial background light — Фоновое освещение кабины
- Junction block — Соединительный блок
- Light truffer — Знак на крыше
- Loud speaker — Громкоговоритель
- Monsensor oil press engine — Датчик давления в системе смазки двигателя
- Noise limiter — Глушитель
- Not Topline — Не Topline
- Oil press. Engine — Давление в системе смазки двигателя
- Opticruise/GA/Conv Opticruise — автоматическая коробка передач гидротрансформатор
- PTO — Коробка отбора мощности
- Reading lamp — Фонарь местного освещения
- Front fog light — Передние противотуманные фары
- Rear fog light — Задний противотуманный фонарь
- Rear mirror — Зеркало заднего вида
- Refrigerator — Холодильник
- Retract step — Убираемая подножка
- Rheostat Реостат
- Rheostat light level — Реостат корректора фар
- Roof deflector light — Фоновое освещение
- Rotating beacon — Проблесковый маяк
- See wir dgm — См. электрическую схему
- See wir dgm batt mast sw 1-p ADR — См. схему ADR
- See wir dgm batt mast sw 2-p ADR — См. схему ADR
- See wir dgm batt mast sw 1-p no ADR — См. схему выключателя «массы»
- See wir dgm ETC/ETC-AC См. схему ETC+AC
- See wir dgm seat — См. схему сиденья
- Sensor coolant temp engine — Датчик температуры охлаждающей жидкости двигателя
- Sensor fuel level — Датчик уровня топлива
- Sensor oil press engine — Датчик, давление в системе смазки двигателя
- Short-stop heater — Стояночный отопитель
- Signal horn — Звуковой сигнал
- Головка — Головка
- Starter — Стартер
- Stop light — Стоп-сигнал
- Switch door — Дверной выключатель
- Switch lighting — Выключатель освещения
- Symbol lighting — Подсветка символов
- Tag axle lift — Механизм подъема дополнительного моста
- Trailer socket — Розетка прицепа
- Trip- temp met — Одометр и указатель температуры
- Voltage divider — Делитель напряжения
Сигнализация и противоугонная система VPS Противоугонная система и сигнализация
- White smoke limiter — Ограничитель дымления
- Window winders — Стеклоподъемник
- Windscreen wiper — Стеклоочиститель ветрового стекла
- Work light — Рабочее освещение
История эмблемы Scania
Известный факт, что «Скания» начала своё существование в 1891 году. А с 1911 года произошло историческое слияние двух компаний – одной, производящей велосипеды, и второй, выпускающей железнодорожные вагоны. Отсюда и вытекает первая эмблема : голова грифона, обрамленная тремя спицами велосипедного шатуна.

В 60-х годах прошлого столетия от представителей конкурентов Daimler-Benz поступила претензия, что эмблема Scania очень похожа на значок Mercedes. «Скания», страна-производитель которой Швеция, была тогда не так сильна на политической арене, и в 1968 г. произошло изменение логотипа на простое изображение грифона на белом фоне.
Секрет мировой популярности техники Скания
Ключевые особенности грузовиков Скания
Scania – это компания, поставляющая грузовые автомобили, автобусы и другую спецтехнику премиум-класса, которая известна в более чем 100 странах мира. Даю вам короткий обзор их продуктов.
Особенности автомобилей Скания – https://www.severscan.ru/:
- в двигателях используются системы распределительного впрыска топлива и его сгорания с помощью насосов-форсунок PDE, а сами двигатели вмещают от 410 до 450 л.с.;
- колесная формула от 4 х 2 до 10 х 4, что позволяет минимизировать износ шасси (происходит равномерное распределение давления на колеса);
- минимальные расходы на топливо: от 29,4 литров на 100 км;
- оснащены современными коробками передач, среди которых выделяют 8-скоростную и модификацию 8+1;
- есть G-серия тягачей, которая рассчитана специально на путешествие по бездорожью;
- стандарты двигателей отвечают экологическому Евро-3 и выше.
Почему автомобилисты предпочитают технику Скания
Каждый спецавтомобиль Скания радует водителя ультракомфортной кабиной. Пульт управления будильником, светом, радио, москитные сетки, розетки, шторы – все это появилось в кабинах еще самых первых грузовиков. Я уже упоминал G-серию, теперь о следующих: грузовики класса R рассчитаны на дальние расстояния, а Р – на перевозки больших грузов. R-серия вышла на мировой авторынок в 1980 и с тех пор остается самой популярной линейкой спецтехники Скания, о которой мечтает каждый дальнобойщик.
Сейчас на сайте компании Скания можно найти спецпредложения на запчасти, акции для владельцев автомобилей с большим пробегом и многие другие приятные возможности для ремонта, профилактики и/или покупки грузового транспорта. За 115 лет существования Скания обслужила миллионы клиентов, так что качество грузовиков и др. ее авто вас точно порадует.
08/07/2011 16:57:58 CAN подключение
- daemon
- Wialon fan club
- Неактивен
- Откуда: Калининград
- Зарегистрирован: 16/12/2009
- Сообщений: 1,134
- Продукты: Wialon Pro
- Карма: 108
Re: CAN подключение
с грузовыми авто вроде уже как все понятно, со спецтехники тоже удавалось снимать данные, вот понемногу дошли до полугрузовиков — текущая машина FORD TRANZITПовозились с ней немного, сканер показал что данные в шине есть, но, не под обычними идентификаторами, это раз, битность не 29 как обычно а 11 бит, это два. Ну и куча тонкостей всяких это три.Самое интересное что шина непонятно что, но передает. ЧТо то бегает по ней а что непоятно. Сейчас настройка происходит вслепую — меняем удаленно параметры и смотрим а что же получилось.Был ли у кого опыт подключения к CAN шине такого или аналогичного авто. Там где шина вроде как и есть, а вроде и не та к который привыкли )
Добавлено спустя 1 минуту 35 секунд:
да какая тут инфа. все методом проб и ошибок, сидеть со сканерами всякими и ловить данные.
Scania manual PDF
Scania 4 series Electrycal System Manual.pdf
Scania 4-series Workshop manual — Dismantling information.pdf
Scania Bodywork information in the instrument cluster.pdf
Scania Diagnóstico geral de falhas(avarias) de sistemas de controleeletrônico.pdf
Scania EDC MS5 para bomba injetora Diagnóstico de falhas (avarias).pdf
Scania Electrical system in P, R, T series — Introduction and general troubleshooting.pdf
Scania EMS Instrumentation Operator’s Manual.pdf
Scania instrumentation Operator’s Manual.pdf
Scania Manual de esquema elétrico.pdf
Scania Manual Tecnico Motor.pdf
Scania Motores de 11 e 12 litros.pdf
Scania Motores DN11, DS11 manual.pdf
Scania Retarder -Mechanical system and hydraulic system — Troubleshooting PDF manual.pdf
Scania truck PDF driver manual.pdf
Scania trucks Fault Codes PDF — CAN interface for bodywork.pdf
Scania trucks Repair and maintenance manual.rar
Scania trucks Warning messages for open hatch.pdf
Scania Wiring diagram handbook PDF.rar
Scania bus PDF repair manual — PDF manual in German for the maintenance and repair of the Scania buses.
Scania truck PDF driver manual — A manual in Russian on the operation and maintenance of Scania trucks.
Scania trucks Repair and maintenance manual
Расположение и назначение реле в центральном электрическом блоке Scania (Скания) PGR серии
В блоке предохранителей на автомобилях Скания (Scania) расположены реле, положение и назначение которых приведено на этой странице.
Реле RP1 и RP2 два реле питающих предохранители F1 — F18 после поворота ключа в положение «зажигание».
Предохранители F19 — F44 запитаны от клеммы 30 с и находятся под постоянным напряжением +24 В.
Реле RP3 подает напряжение на предохранители F45 — F48 после запуска двигателя.
F50 получает питание +24В непосредственно от замка после поворота ключа в положение «зажигание».
Реле RP4 питает габаритные огни через предохранители F54 — F59.
Предохранители F61 — F62 получают питание от замка зажигания в положении «Радио»
Назначение реле RP5 — RP27 смотрите в таблице.
| Позиция | Система | Функция |
| RP1 | POW | Подача напряжения от клеммы 15 |
| RP2 | POW | Подача напряжения от клеммы 15 |
| RP3 | POW | управляется VIS |
| RP4 | POW | Подача питания от клеммы 58, управляется VIS |
| RP5 | INL | Внутреннее освещение |
| RP6 | TAL | Механизм подъема дополнительного моста |
| RP7 | VIS | Стоп-сигналы |
| RP8 | VIS | Фонарь заднего хода |
| RP9 | COO | Блок резисторов для автомобилей с круиз-контролем без кнопок этой системы на рулевом колесе |
| RP10 | FMS | ECU для подготовки FMS |
| RP11 | FMS | ECU для подготовки FMS |
| RP12 | CCS | Реле AC (Crew Cab) |
| RP13 | POW | Предохранительный переключатель |
| RP18 | POW | Дополнительное реле подачи питания от клеммы 15 для автомобилей типа S |
| RP19 | CAT | Реле электронной системы подъема кабины |
| RP20 | TGL, KIT | Задний подъёмный борт и кухонное оборудование |
| RP23 | VIS | Дополнительный фонарь |
| RP24 | VIS | Дополнительный фонарь |
| RP25 | VIS | Дополнительный фонарь |
Более точное расположение реле, для конкретного автомобиля, смотрите на вкладках в предохранительном блоке. Они представлены в виде картинок расположенных ниже.
Источник
Зачем нужна в машине CAN-шина
По мере усложнения автомобильной электроники, производители столкнулись с некоторыми проблемами, которые всё больше проявлялись с ростом рыночной конкурентоспособности новых моделей.
Далее наращивать объём оборудования простым добавлением управляющих и исполнительных устройств стало невозможно:
- количество проводов в жгутах, их масса, объёмы и расход дорогостоящей меди стали превышать разумные пределы;
- многие узлы, особенно датчики и первичные преобразователи, многократно дублировались, что необоснованно увеличивало затраты;
- сложнейшие автомобили, особенно премиального класса, стали совершенно неподъёмными в обслуживании и диагностике даже для профильных сервисов из-за отсутствия стандартизации технических решений;
- надёжность машин падала по мере роста количества заключённого в них оборудования, как по чисто объективным законам связи сложности и безотказности, так и из-за отсутствия времени на отработку многочисленных уникальных систем.

Решение должно было быть радикальным, и этот качественный скачок в развитии автомобильной электроники произошёл.
Электросхемы машин стали делать по принципам, заложенным в основах вычислительной техники и к тому времени уже достаточно устоявшимся и понятным.
Автомобиль стал представлять собой сеть из микрокомпьютеров, каждый из которых обслуживал свою систему или отдельный узел.
Например, двигатель, коробку передач, узлы трансмиссии, блок климата и даже отдельные фонари наружного освещения или стеклоподъёмники. Уже не надо было тянуть к каждому устройству медные провода в огромном количестве через весь автомобиль.
Причём до появления единой информационной шины некоторые узлы были обвешаны сразу несколькими однотипными датчиками, электронными блоками и жгутами проводки.
CAN-шина обходится единственной витой парой, то есть скрученными между собой двумя тонкими проводками, которые обходят все устройства, имея ответвления на каждое из них.
По схеме получается, что все блоки соединены параллельно через данную шину. Последовательный способ передачи информации делает это возможным, отдельных проводов данных, адресов, синхронизации и назначения приоритета не требуется.

Более того, системе не нужен единый обрабатывающий и управляющий сервер, все ресурсы распределены по микроконтроллерам.
Генератор и аккумуляторная батарея грузовиков Scania. Руководство — часть 3

Автомобили со спальными местами или при их использовании при температуре ниже -20º С должны быть оборудованы аккумуляторным нагревателем. Нагреватель обогревает аккумуляторная батарея до температуры 10-15ºС, снижая проблемы подзарядки.
включается при температуре приблизительно ниже –4 4ºС и только тогда, когда генератор обеспечивает подзарядку.
Изоляция позволяет сохранять тепло в аккумуляторная батарее, что может ускорить запуск двигателя. Теплый аккумуляторная батарея имеет емкость в два раза больше, чем холодный аккумуляторная батарея.
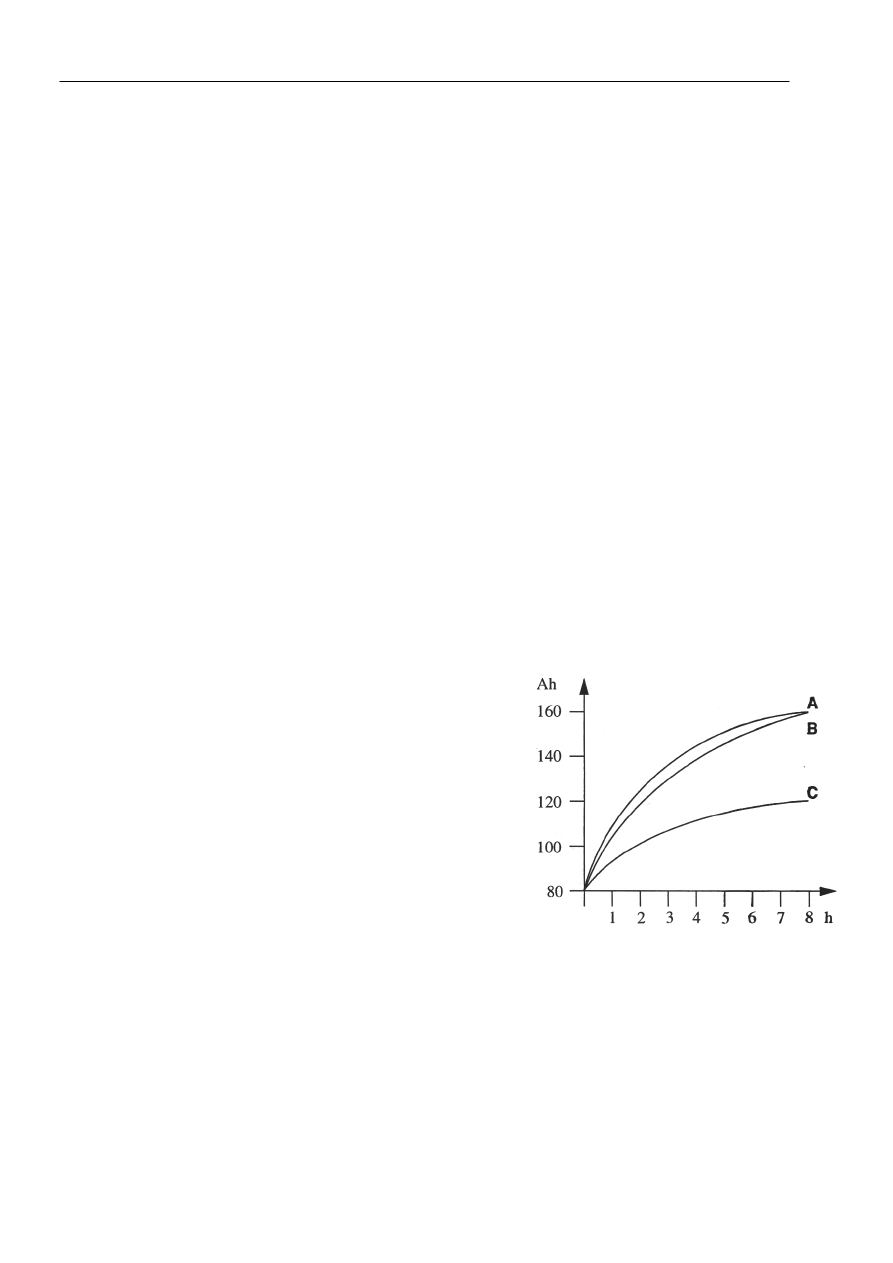
Пример: На этом примере мы видим, как температура и время движения автомобиля воздействуют на зарядку аккумуляторной батареи.
Аккумуляторные батареи емкостью 160 ампер-час разряжаются до 80 ампер-час. На графике показано, какое количество подзарядки восстанавливается в течение 8 часов движения автомобиля. При наличии аккумуляторного обогревателя аккумуляторная батарея подзаряжается с 40 ампер-час при температуре -20ºС. Подзарядка осуществляется дважды при 80 ампер-час за один и тот же период.
На эту тему смотри также раздел 16:06-42.
А) +20ºС, 100% подзарядка В) -20ºС, 100% подзарядка с аккумуляторным нагревателем С) -20ºС,75% подзарядка без аккумуляторного нагревателя
Прорыв на дальнее плечо
Нужно заметить, что в 60-е годы по всей Европе активно строились новые автомобильные дороги. Было очевидно, что их сеть становилась разветвлённее год от года. Автоперевозчики постоянно озвучивали растущую потребность в повышении эффективности автомобильного транспорта. Шведы внимательно отслеживали тенденции и в конце концов начали работу над проектом мотора V8.

Решение Scania о разработке восьмицилиндрового двигателя было принято в начале 1960-х годов, в ответ на запросы операторов, требующих большего, чем могла предложить компанией 11-литровая шестёрка.
Новый двигатель Scania V8 DS 14 мощностью 350 л.с. на то время оказался реально самым мощным дизельным двигателем в Европе, и он оставался таковым в течение многих последующих лет. На его разработку у компании ушло семь лет и немало средств, но он стал настоящей классикой и имел огромное влияние на европейский транспортный рынок. Привлекательность конфигурации V8 заключается в том, что она имеет относительно небольшие физические размеры по сравнению с выходной мощностью и, таким образом, может обеспечивать большую мощность и крутящий момент в заданном диапазоне, чем её шестицилиндровые аналоги.

На момент запуска двигателя V8 основные мощные двигатели, применявшиеся в Европе, были родом из Америки. Scania DS 14 предоставил необходимые мощности и требуемую производительность для дальних перевозок, что делает его особенно подходящим для международных операций. С периода запуска V8 автоперевозчики начали совершать регулярные рейсы из Европы на Ближний Восток. Для таких долгих и трудных поездок мощность нового двигателя Scania была идеальной. Но особенно полюбился двигатель водителям Шотландии и Северной Ирландии, которые теперь достаточно легко преодолевали горные серпантины на своих лесовозах.
Несмотря на свою новаторскую природу, двигатель V8 полностью соответствовал философии модульной сборки, которую проповедовала Scania. Она позволяет создавать большое количество вариантов из сравнительно ограниченного диапазона компонентов, поэтому его разработка, по мнению некоторых конструкторов шведской .

Scania K-, N-, F-series Workshop Manuals
Scania bus PDF repair manual.rar
Battery, hybrid vehicle.pdf
Central electric unit, hybrid vehicle.pdf
Control unit, hybrid vehicle.pdf
Coolant pump, hybrid vehicle.pdf
Coolant radiator, hybrid vehicle.pdf
Cooling system, hybrid vehicle.pdf
Direct current converter, hybrid vehicle.pdf
Dismantling information Scania Touring; Scania — Higer A80, A30.pdf
Electric machine, hybrid vehicle.pdf
Expansion tank, hybrid vehicle.pdf
Gearbox, hybrid vehicle.pdf
Heater, hybrid vehicle.pdf
MGU inverter, hybrid vehicle.pdf
Oil cooler, hybrid vehicle.pdf
Procedure for work on hybrid vehicles.pdf
Solenoid valve, hybrid vehicle.pdf





























